こんにちは。「計算くらぶ」を運営しているドリさんです。
今回の計算tipsでは、
「逆算」を方程式のように解くと時間がかかる
という内容でお伝えします。
方程式のような解き方では遅い
まずは、『「逆算」を方程式のように解く』をお見せします。
方程式のように解く
いかがでしょうか。 一見、上から丁寧に解いて、見直しやすくよさそうです。

いかがでしょうか。 一見、上から丁寧に解いて、見直しやすくよさそうです。
ですが、これではダメです。
なぜかというと「この解き方では時間がかかるから」です。
スピード勝負の中学受験算数では明らかに不利なのです。
逆算の標準的な解説
では、どう解けば良いのでしょうか。
中学受験塾での標準的な解説は、以下のような解説となります。
標準的な解説
いかがでしょうか。 最初に計算の順番を番号で書き、逆からたどっていくような解き方です。 方程式のような解き方と比べて記述量が減っており、計算の過程もわかりやすいです。

いかがでしょうか。 最初に計算の順番を番号で書き、逆からたどっていくような解き方です。 方程式のような解き方と比べて記述量が減っており、計算の過程もわかりやすいです。
逆算の解き方の理解が浅い時期や、ミスが多い時期はこのように解くことをおすすめします。
慣れてきたら少し崩す
上では標準的な解説をお伝えしました。 しかし、逆算の練習を重ねていると、解説のような解き方も面倒になってきます。
次の段階では、このような解き方になります。
少し崩した解き方
いかがでしょうか。 計算の順番を完全に理解していると、番号を書くのが面倒になりますから、このようにどの部分がいくつになるかをメモしながら解き進めるようになります。 ここまでくると、「計算くらぶ」のガチ計算レベルを毎日のルーティンとして取り入れることができ、入試レベルにも対応ができるようになっていきます。

いかがでしょうか。 計算の順番を完全に理解していると、番号を書くのが面倒になりますから、このようにどの部分がいくつになるかをメモしながら解き進めるようになります。 ここまでくると、「計算くらぶ」のガチ計算レベルを毎日のルーティンとして取り入れることができ、入試レベルにも対応ができるようになっていきます。
さらなるスピードと正確性を求めて
多くの受験生は、上記の少し崩したような解き方で満足し、それ以上のレベルを意識することはありません。そして、それでも(難関)入試を突破することは十分に可能です。
しかし、「計算くらぶ」では、入試で出題される計算問題を速く正確に通過することを目指します。
では、そのレベルになるとどのような答案になるのかお見せします。
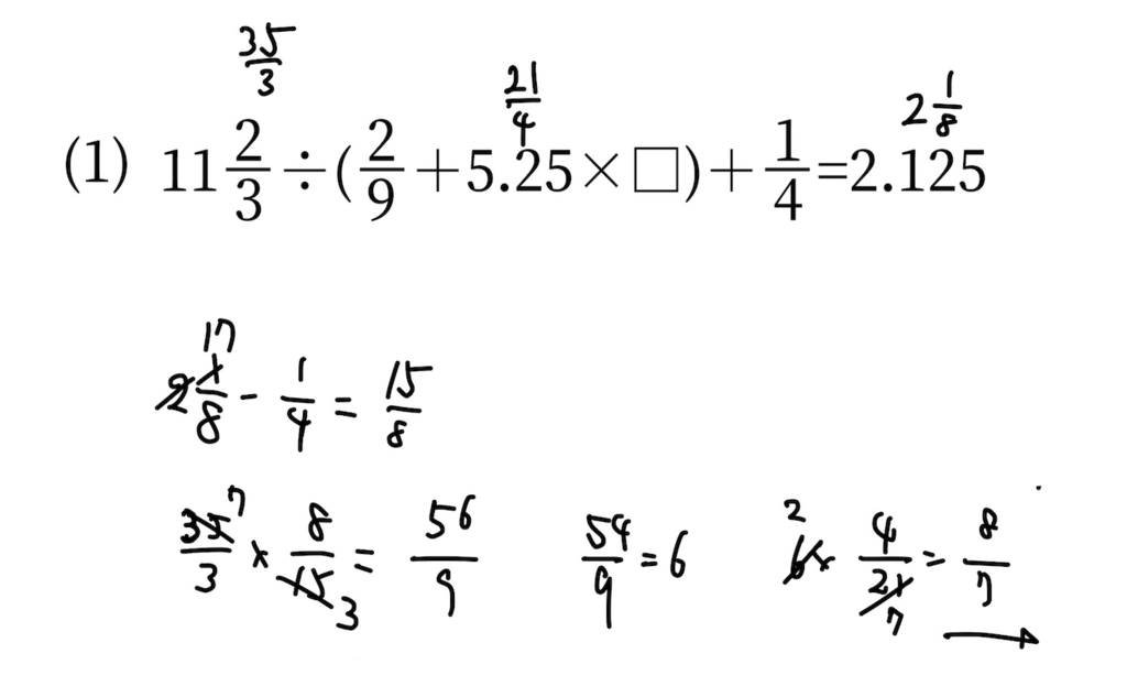
トップレベルの答案例(メモ多め)
いかがでしょうか。 このくらいの分量の計算であれば、瞬時にどの順番で計算するかを判断できます。 そして、後は計算をするだけなので、暗算でできるところは暗算で進め、必要なメモを残しながら計算を進めます。 (わかりやすくするため、メモ多めです。まだ削れます。)

いかがでしょうか。 このくらいの分量の計算であれば、瞬時にどの順番で計算するかを判断できます。 そして、後は計算をするだけなので、暗算でできるところは暗算で進め、必要なメモを残しながら計算を進めます。 (わかりやすくするため、メモ多めです。まだ削れます。)
これをみて、「これだけしかメモを書かないなら計算ミスをするのでは?」と思った方も多いと思います。
そこは、安心してください。ここまでを30秒弱で解き、自信がない場合は数字を追って確かめます。書いてる数字が少ないので、(本人は)計算過程を簡単に追えるわけで、確かめたとしても1分です。
このように、暗算力をつけ、少ないメモで速く解いてしまい、見直すほうが計算精度が上がるのです。
まとめ
方程式のような解き方では、計算に時間がかかってしまい、中学受験算数には不向きです。
計算の順番の逆をたどりながら、計算する練習をしましょう。
ある程度慣れてきたら、メモの仕方を工夫しましょう。
さらに、高みを目指す場合は、必要な暗算力を鍛えながら、必要最低限のメモを意識しながら、ミスをしにくい計算力をつけていきましょう。
計算の順番の逆をたどりながら、計算する練習をしましょう。
ある程度慣れてきたら、メモの仕方を工夫しましょう。
さらに、高みを目指す場合は、必要な暗算力を鍛えながら、必要最低限のメモを意識しながら、ミスをしにくい計算力をつけていきましょう。
おまけ
計算くらぶ生の実際の答案です。
解くスピードにはのびしろを残しておりますが、メモの仕方が完成されつつあります。