計算力の土台「分数から小数」の攻略までの流れを説明する記事です。
※「小数から分数」がまだの方は、まずはそちらをやってください。
まずは、①で解き方のコツをつかみましょう。
次に②を確認し、自分に合ったレベルから取り組みましょう。
次に②を確認し、自分に合ったレベルから取り組みましょう。
① 参考記事
② 段階(レベル1~4)
レベル1:分数から小数への変換ができる
以下のいずれかの方法で分数から小数へ変換する練習をしましょう。
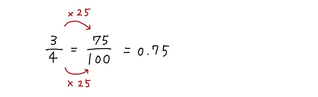
①分子÷分母

②10分の、100分の、1000分のに直す

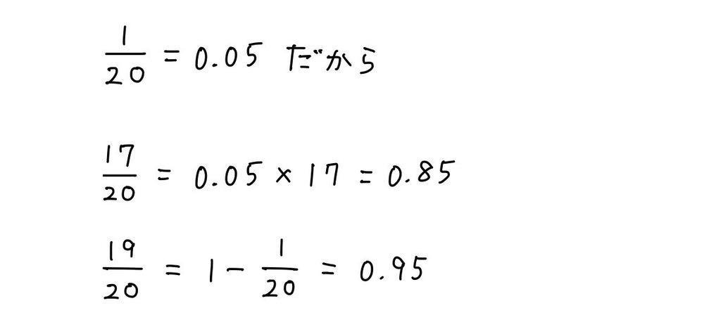
③単位分数を利用する

レベル2:一発変換できる
途中でメモを取ったりせず、暗算で小数に変換にしましょう。

レベル3:Aタイム満点
一発変換ができるようになったら、Aタイム満点を目指しましょう。
レベル4:Sタイム満点
Aタイム満点を達成したら、Sタイム満点を目指しましょう。