「小数から分数」計算力の土台の攻略
計算力の土台「小数から分数」の攻略までの流れを説明する記事です。

まずは、①で解き方のコツをつかみましょう。
次に②を確認し、自分に合ったレベルから取り組みましょう。

① 参考記事

「小数を素早く分数にする方法~計算tips6~」
https://drill-sansu.com/articles/10


②段階(レベル1~5)

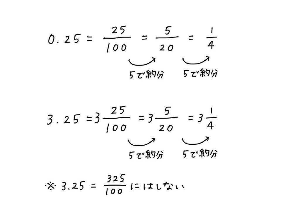
レベル1:小数から分数への変換ができる
小数を分母が100や1000の分数に変換し、
5で約分しましょう。

帯分数は、小数部分だけ分数にしましょう。
画像1


レベル2:約分を1回でできる
約分を1回でできるようにしましょう。
画像2


レベル3:一発変換できる
暗算で既約分数にしましょう。
分母が100や1000の分数に直したり、途中でメモを取ったりせず、そのまま既約分数に変換します。
画像3


レベル4:Aタイム満点
一発変換ができるようになったら、Aタイム満点を目指しましょう。


レベル5:Sタイム満点
Aタイム満点を達成したら、Sタイム満点を目指しましょう。


最終更新日: 2026年02月17日
計算くらぶのご案内
中学受験に特化した計算力を鍛えます。
他の最新記事記事一覧